Точность мысли
Погружение
Радуга книг
Поиск
О нас
Ваш путеводитель
по различным областям знаний
Точность мысли
Гуманитарные науки
Антропология
История
Культурология
Психология
Русский язык
Философия
Естественные науки
Математика
Физика
Экология
Медицина
Общественные науки
Безопасность жизнедеятельности
Право
Экономика
Технические науки
Автоматика. Радиоэлектроника. Связь
Информационные технологии. Вычислительная техника
Промышленность. Энергетика
Строительство
Разделы:
Технические науки
|
Информационные технологии. Вычислительная техника
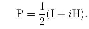
Уравнения Дьяченко
Уравнения Дьяченко:
где,
Спасибо Вам за добавление этой статьи в
Рекомендуем книги
Алгоритмизация комбинаторно-оптимизационных задач при проектировании ЭВМ и систем
подробнее
Turbo Pascal для студентов и школьников
подробнее
Задачник-практикум по информатике
подробнее
Adobe Photoshop CS2 для студента (+ СD-ROM)
подробнее
Информационные технологии
Учебное пособие охватывает широкий круг вопросов, связанных с организацией и внедрением информационных технологий на ...
подробнее
Revit Architecture 2008. Компьютерное проектирование в архитектуре
Книга посвящена оригинальной системе автоматизированного проектирования Autodesk Revit Architecture 2008, используемой в ...
подробнее
Основы информатики для экономистов
В пособии освещаются основные вопросы прикладной информатики в экономике: основные понятия и свойства экономической информации, ...
подробнее
Информационные системы и их безопасность
Учебное пособие предназначено для студентов и слушателей среднего профессионального образования в области информационных и ...
подробнее
RSS лента
Администрирование
Источник знаний © 2009 Все права защищены