Точность мысли     Погружение     Радуга книг     Поиск     О нас
Ваш путеводитель
по различным областям знаний
Источник знаний  
Источник знаний|Главная страница Поиск Напишите нам Карта сайта Добавить в избранное

Точность мысли


Разработка и дизайн сайтов WebPalette.RU
Разделы: Естественные науки | Физика

Основное уравнение вакуумной техники

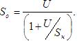
Основное уравнение вакуумной техники - При постоянной проводимости трубопровода U , соединяющего вакуумный объем с насосом любой производительности , максимальная быстрота откачки вакуумного объема не может превышать величины U , а максимум эффективности быстроты откачки насоса реализуется при непосредственного подсоединения насоса к вакуумной камере при полном согласовании входной и выходной диафрагм.


Спасибо Вам за добавление этой статьи в


Опубликовать в twitter.com Опубликовать в своем блоге livejournal.com

Рекомендуем книги

Задачник по физике
подробнее 


Квантовая теория поля в физике конденсированного состояния
подробнее 


Уравнения в частных производных. Сборник задач
Настоящий сборник задач по уравнениям в частных производных представляет собой переработанное и дополненное второе издание ...
подробнее 


Сборник задач по физике
Пособие представляет собой сборник вопросов и задач, составленный в соответствии с программой по физике для студентов высших ...
подробнее 


Введение в квантовую физику
В пособии рассмотрены основные проблемы классической физики, решение которых привело к созданию современной квантовой физики. ...
подробнее 


Основы физики. Волновая и квантовая оптика
Пособие охватывает все разделы курса физики для инженерно-технических специальностей высших учебных заведений и отвечает ...
подробнее 


Введение в физику ядра и частиц
Книга является заключительным разделом общего курса физики, посвященного атомным ядрам и элементарным частицам. Материал ...
подробнее 


Курс лекций по физике твердого тела для технических вузов
Книга представляет собой учебное пособие по курсу с одноименным названием, который читается автором в течение многих лет ...
подробнее 

RSS лента
Администрирование
Источник знаний © 2009 Все права защищены